闪光器可靠性试验方法研究及应用
汽车靠性的高低是汽车生产厂和用户都很关心的问题,如何科学地对零部件提出可靠性要求并使整车达到可靠性目标,是汽车生产厂努力追求的目标。产品质量好坏的评价范畴很广,包括性能、可信性、安全性、适应性、经济性、时间性等方面。其中可信性反映了产品的可用性,是消费者较基本的要求之一,其影响因素有:可靠性、维修性和保障性。可靠性是可信性较重要的部分。作为汽车产品,可靠性是普通消费者较关心的质量特性,可靠性的高低直接影响着汽车消费者是快乐还是烦恼。
整车的可靠性需要众多汽车零部件的支持,没有高可靠性的汽车零部件,就没有高可靠性的整车。对零部件提出合理的可靠性要求并加以验证,才能达到可靠性目标。要求过高会造成成本浪费或因为无法验证而失控,要求过低会造成可靠性不能满足要求。
汽车闪光器是典型的汽车零部件,可靠性现状不容乐观,或多或少的早期故障和不尽人意的三包索赔是主机厂比较头痛的质量问题。本文从分析QC/T501—1999等传统闪光器标准入手,发现可靠性要求和试验方法均存在不合理之处,不符合可靠性理论,故重新提出可靠性要求及试验方法,以期运用可靠性理论指导零部件产品设计,达到大幅提高产品可靠性的目的。本方法具有很强的推广价值。
一、现行的闪光器可靠性要求及试验方法
查阅闪光器的试验方法,都是通过对产品进行耐久性试验进行可靠性验证,全部为抽样检验的方法,即通过一定时间的耐久性试验,根据接收限和拒收限判定批产品是否合格,见表1。

按车辆平均时速50km/h,平均行驶40min使用1min转向灯,闪光器工作200h相当于整车行驶里程40万km,500h相当于行驶里程100万km,如果闪光器近100%都能正常工作500h(本文下称:期望寿命),有理由相信它的表现将是非常令人满意的,但这是不符合可靠性客观规律的。
从传统可靠性试验方法可以看出,闪光器耐久性试验的时间等于期望寿命;试验结果的判定采用指定的抽样方案。
二、可靠性故障的分布规律
可靠性理论的研究已经证明,任何产品,使用一段时间后,必然有一定概率的失效,且随着时间的推移,失效的概率是不断增加而且有规律可循。产品的累积故障分布可以是指数分布、对数正态分布或威布尔分布等。较简单、较常用的是指数分布,电子产品的失效一般符合指数分布。兼容性较好的是威布尔(Weibull)分布。威布尔分布非常适合于描述机械和电子零部件、元器件的寿命,在工程上得到了广泛的应用。
对威布尔分布进行简单阐述:
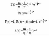
威布尔分布的分布密度函数f(t)、可靠度函数R(t)、累积失效函数F(t)以及故障率函数λ(t)见图1。

其函数表达式分别如下:
式中,m为形状参数;η为尺度参数,亦称特征寿命,表示所有零件63.2%失效时的时间或里程参数。
由图1可知,威布尔分布的形状参数m对故障率λ有决定性的影响。形状参数m影响分布函数曲线的形状特征。当m>1时,故障率是递增的。反之,m<1时,故障率是递减的。当m=1时,威布尔分布就变成指数分布。此时尺度参数η=1/λ。当m=2时,为瑞利分布;当m=2.7~3.7时,为近似正态分布;当m=3.313时,为正态分布。
根据可靠性理论,任何产品都不可能做到在规定的条件下和规定的时间内,100%完成规定功能,哪怕规定的时间相对较短。我们必须正确认识可靠性故障的规律,并加以准确把握,提出合理的要求并加以正确的验证,才能提高产品的可靠性。对产品提出可靠性要求应该是工作若干时间,失效比例低于若干。
三、现有可靠性要求及试验方法不严密性分析
(一)QC/T501—1999抽样方案的不合理性
对于QC/T501—1999,暂不讨论试验时间是否足够,如果接收限过于宽松,会造成批不合格率较大的产品通过试验的概率较大。下面计算该抽样方案的OC曲线:假设抽样的批产品为200件,则N=200,抽样方案(20,9),用二项分布法计算不同批不合格品率下的接收概率,绘制该抽样方案的OC曲线,见图2。

批不合格品率为0.2时接收概率几乎为1;批不合格品率为0.3时接收概率为0.952。该抽样方案显然是不合理的。
(二)其他试验方法的不合理性
对于表1中QC/T413—2002抽样方案,其抽样方案为(3,0),出现不合格后允许二次抽样,二次抽样数量加倍。
同样运用二项分布法计算不同批不合格品率下只允许一次抽样的接收概率和二次抽样的接收概率,绘制该抽样方案的OC曲线,见图3。

计算结果显示,只允许一次抽样批不合格品率0.1时的接收概率已高达0.729;允许二次抽样时批不合格品率0.1的产品,通过可靠性试验的概率有0.873之多。也就是说,该抽样方案对批不合格品率0.1以下的产品接收概率是很高的!从前面的计算可以看出,传统的可靠性试验方法很难保证批不合格品率低于0.1的产品被发现并拒收。
(三)可靠度为0.9对系统的影响
分析汽车产品的可靠性系统,由复杂的串、并联系统组成,对可靠性串联系统而言,零部件的可靠性对系统的影响很大。从系统的角度看,组成串联系统的部件越多,系统的可靠性越低。
假设串联系统由4个零部件构成,工作500h期间的可靠度都是0.9,4个可靠度为0.9的零部件组成的串联系统可靠度只有0.6561,组成可靠性串联系统的零部件越多,零部件的可靠性越低,系统的可靠性越低是必然的。汽车制造厂对顾客负责的是整车,而不是零部件,所以必须用系统的眼光分析问题,对零部件提出满足整车需要的要求。
由此可见,传统抽样方案对闪光器的期望寿命进行抽样检验是不合理的。
四、应用
可靠性理论提出闪光器的可靠性指标根据可靠性理论,可靠性指标的设定是自上而下进行可靠性分配而得来的;对整车而言,可靠性指标应该是从整车—系统—子系统—总成—零部件分配的过程。从整车开始对可靠性指标进行分配的目的是保证整车的可靠性符合要求。本节应用可靠性理论中的专家评分分配法对分配到转向灯子系统的可靠性指标进一步分配到闪光器等产品中。
整车按100万km进行可靠性设计,分配到转向灯子系统的可靠度为0.8,车辆平均时速50km/h,寿命20000h,平均行驶40min用1min转向灯,分解到转向灯子系统,则换算成时间的可靠性指标为500h,0.2的故障率;此500h的概念可以适用于闪光器,但不能等同于其它所有产品,500h是100万km寿命终止的概念,要针对不同的产品甚至不同项目进行分配。下面采用专家评分分配法将可靠性指标分配到系统的各部件。
分析组成汽车转向灯子系统为可靠性串联系统,主要部件为灯具A、电线束B、闪光器C、组合开关D(为了本例的简单化,蓄电池、保险丝盒等整车共用件未计入)。
可靠度R(t)=0.80=e-λt=e-500λ
计算得出λ=4.46×10-4h-1请5位相关的专家进行评分,并通过计算,得出表2的结果。

上述分配是对转向灯子系统所作的分解,其他部分应根据相应要求另行分解,综合为总成产品后的可靠性要求还要根据需要进一步计算。
从表2可以看出,分配到闪光器的可靠性指标是500h,0.974,把分配到闪光器的可靠性指标换算到0.1故障率:
0.90=R(t)=e-λt=e-5.26E-5t
由前式得出t=2003h
2003h,0.1故障率(0.1故障率通称保证寿命)的指标,与现有的可靠性要求200h,n=20,A=9,R=10或500h,n=3,A=0,R=1是无法直接比较的,但可以非常明显地看出该指标与现行标准的差距非常悬殊。
保证寿命大大高于期望寿命是非常合理的要求,二者的失效概率是完全不同的。查阅国外某厂家灯光复合控制器(灯光系统的综合控制器)的耐久性要求,见表3。

该灯光复合控制器是灯光系统的集成控制单元,包括前照灯、闪光器、警报闪光器等所有的控制功能,各功能产品如果是独立的,组合后的子系统要达到上述要求,每个产品的要求还要大大提高。由此可以看出该公司对闪光器产品的可靠性要求比前面计算的结果更高,该公司在设计中通过功能合并很好地提高了基本可靠性。
从本节的计算可以得出,零部件的可靠性要求必须从系统的角度进行考虑,零部件的可靠性要求必须以满足系统的可靠性要求为前提。复杂度低、技术成熟度高、重要度高、工作环境好的零部件分配的故障率指标少,可靠性要求高,是符合系统要求的。可靠性指标的分配方法很多,提出经济、切实可行的指标是较难的,要经过
相关阅读:
- ...· Efinix® 全力驱动AI边缘计算,成功推出Trion™ T20 FPGA样品, 同时将产品扩展到二十万逻辑单元的T200 FPGA
- ...· 英飞凌亮相进博会,引领智慧新生活
- ...· 三电产品开发及测试研讨会北汽新能源专场成功举行
- ...· Manz亚智科技跨入半导体领域 为面板级扇出型封装提供化学湿制程、涂布及激光应用等生产设备解决方案
- ...· 中电瑞华BITRODE动力电池测试系统顺利交付北汽新能源
- ...· 中电瑞华FTF系列电池测试系统中标北京新能源汽车股份有限公司
- ...· 中电瑞华大功率高压能源反馈式负载系统成功交付中电熊猫
- ...· 中电瑞华国际在电动汽车及关键部件测评研讨会上演绎先进测评技术
- ...· 华芯微国产汽车芯片门电路系列(篇一)
- ...· 华芯微国产汽车芯片CAN收发器系列(篇一)
- ...· 华芯微国产汽车芯片DC/DC转换器系列
- ...· 华芯微国产汽车芯片DC/DC转换器系列
- ...· 华芯微国产汽车芯片运算放大器系列(篇一)
- ...· 华芯微国产汽车芯片MOSFET 驱动器系列(篇一)
- ...· 数据采集终端系统设备
- ...· 简仪科技踏上新征程








