设计电源管理电路时必需考虑的散热问题
高温或内部功耗产生的过多热量可能改变电子元件的特性并导致其关机、在指定工作范围外工作,甚或出现故障。电源管理器件(及其相关电路)经常会遇到这些问题,因为输入与负载之间的任何功耗都会导致器件发热,所以必须将热量从这些器件中驱散出来,使其进入PCB、附近的元器件或周围的空气。即使在传统高效的开关电源中,当设计PCB和选择外部元器件时,也都必须考虑散热问题。
设计电源管理电路时,在考察散热问题之前对热传递进行基本了解是很有帮助的。首先,热量是一种能量,会由于两个系统之间存在温差而进行传输。热传递通过三种方式进行:传导、对流和辐射。当高温器件接触到低温器件时,会发生传导。高振幅的高温原子与低温材料的原子碰撞,从而增加低温材料的动能。这种动能的增加导致高温材料的温度上升和低温材料的温度下降。
在对流中,热传递发生在器件周围的空气中。在自然对流中,物体加热周围的空气,空气受热时膨胀形成真空,导致冷空气取代热空气。因此形成循环气流,不断将器件的热量传输给周围的空气。另一种形式是强制对流,例如风扇主动吹冷空气,从而加速取代暖空气。当物体将电磁波(热辐射)发送至周围环境时就会产生辐射。辐射热量无需介质传递(热量可以通过真空辐射)。在PCB中,热传递的主要方法是传导,其次是对流。
下面的等式给出了以传导方式热传递的数学模型:

其中H是传热速率(单位为J/s),K为材料的导热系数,A为面积,(TH–TL)为温差,d为距离。当界面之间的接触面积增大、温差增大或界面之间的距离减少时,热量传导速度加快。可以将热传递模拟成一个电路,方法是将能源(热源或前面等式中的H)等同于电流源,高温器件与低温器件之间的温差等同于电压降,(K×A/d)部分作为导热系数,或将倒数(EQ2)等同于热阻(单位为℃/W)。通常热阻表示为符号θ或Rθ或只表示为RA-B,其中A和B是发生传热的两个器件。使用电路模拟重写热传递速率等式,得到以下结果:

该模拟可以深入进行,以描述器件的另一个热属性,称之为热容。正如将热阻模拟为电阻,可以将热容(CT,单位为J/℃)模拟为电容。将热容与热阻并联获得热阻抗(ZT)。图1所示为传导传热的简化RC模型。能源被模型化为电流源,热阻抗被模型化为CT与RT并联。

图 1. 简化的热阻抗模型
在电路中,每个热界面都有热阻抗。热阻抗因材料、几何形状、大小和方向的不同而各异。系统(或电路)的热阻抗对环境温度来说有一个总热阻抗,它可以分解为电路中每个元件的热阻抗的并联和串联的组合。例如,在半导体器件中,晶粒(也称作结)与周围空气(称作热阻抗)之间的总热阻抗,即由结到环境之间的热阻抗(ZJ-A),将是结构中每个单独材料的单个热阻抗的总和。
考虑到 在PCB上安装的分立MOSFET。稳态热阻抗(或热阻RJ-A)是结到器件外壳的热阻(RJ-C)、器件外壳到散热器的热阻(RC-S)与散热器到空气的热阻(RS-A)之和。(RJ-A=RJ-C+RC-S+RS-A)。此外,还可以有并行的散热路径,例如从MOSFET结经过器件外壳到PCB,再从PCB到环境温度。
通常情况下,半导体制造商会给出结点到器件外壳的热阻。另一方面,RC-S和RS-A主要取决于散热器和PCB的属性。许多因素会影响热阻RC-A或RC-S,包括PCB的层数、到辅助面的过孔数、与其他器件的接近程度以及气流速率。通常RJ-A会列在器件数据表中,但该数字是在特定测试板条件下得出的,因此仅适用于在相同条件下测量的器件之间的比较。
热阻(RJA)是电子元器件的重要参数,因为它是器件散热的指标(基于环境条件和 PCB布板)。换言之,RJ-A可以帮助我们根据环境条件和功耗估算工作结温。
开关电源中的散热
电源管理电路中散热考虑的典型示例,可以参考图2所示美国国家半导体提供的LM3554电路。该器件是一个感应升压转换器,面向蜂窝电话应用中的高功率闪光LED。LM3554是一个很好的测试工具,因为它是一个小型器件(1.6mm ( 1.6mm ( 0.6mm),而且可以提供高达6W的输出功率((1.2A闪光电流在5V LED中)。即使提供85%左右的效率,相对较大的输出功率能力和微小的16-bump μSMD封装,该器件都需要承受较高的工作温度。

图 2. 美国国家半导体的 LM3554 闪光 LED 驱动器测试电路
LM3554中的初始散热效应的主要表现是器件开关的导通电阻增加和器件阈值的改变。在温度过热的极端情况下,该器件可能触及热关机阈值而导致关闭。知道准确的RJ-A,可以帮助确定器件在功率运行期间的结温,并确保电路按照预期可靠地完成应用的要求。
在可能的情况下,该器件能够拥有3.6V的输入电压、3.6V的LED电压和1.2A的LED电流。在这种情况下,转换器将输出电压升至高于VIN 300mV。这为器件的两个并联电流源(负责调节LED电流)提供了300mV的净电压。
器件的总功耗将为同步PFET、NFET和两个电流源的功耗之和。PFET和NFET的功耗在电阻元件上,因此必须使用RMS电流来准确估算功耗。此电流就是RMS电感电流乘以开关周期(NFET和PFET的导通时间)百分比。如果知道转换器效率,可以用下面的等式算出占空比:
针对我们的情况,VOUT=VLED+300mV,且效率大约为90%。这可以算出PFET占空比(1-D)为83%,NFET占空比为17%。RMS电感电流等式为:

其中ΔIL为峰到峰值电感电流,在我们的示例中大约为140mA,ILDC是通过ILED/(1-D)算出的平均电感电流。
开关中的总功耗变为NFET(RDS_ON=125mΩ) 的45mW加 PFET(RDS_ON=152mΩ)的265mW。此外,电流源的功耗为300mV×1.2A=360mW,使得内部总功耗达到668mW。数据表中给出的RJ-A为60℃/W,且来自4层JEDEC测试板(详见JESD51-7)。使用该RJ-A时,预测结温在TA=50℃时为83.4℃。这对器件将不构成问题,因为它低于150℃的热关机阈值,且低于LM3554数据表中指定的较大工作结温125℃。
在另一种情况下,可以将 LM3554设置为在同一闪光脉冲期间恒定输出+5V。300mV电流源净电压现在变为5V–3.6V=1.4V,导致电流源功耗为1.68W。假设器件在以1.2A电流提供5V电压时效率仍为90%,则占空比为35.2%,从而使直流电感电流1.85A具有288mA的ΔIL。NFET功耗现在为151mW,PFET功耗为338mW。总的内部功耗2.169W,在TA=50℃时会导致高达180℃的核心温度,这比热关机阈值高30℃,且比较大工作结温高55℃。
在现实中,该设备不会安装在4LJEDEC测试板上,而会安装在具有不同布线面的PCB上,它靠近消耗功率的其他元件,且到低层的过孔数也各不相同。所有这些应用变量,加之许多其他因素都会显著影响RJ-A,从而降低结温计算的准确度。
测量热阻抗(RJ-A和CJ-A)
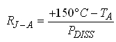
我们需要的是代表实际电路的准确RJ-A。测量RJ-A有多种方法,一种方法是使用热关机阈值,将其设置为+150℃。要用这种方法测量RJ-A,我们可以让LM3554在已知功耗(PDISS)下工作,然后慢慢提高环境温度直到器件关机为止。该器件具有一个内部标志,可以通过I2C兼容接口设置,在触及热关机阈值时会返回‘1’。使用这种方法获得的RJ-A将为:

另一种方法是使用器件中的一个ESD保护二极管,并测量其VF与温度。相较而言这种方法稍微复杂一些,但得出的结果将更准确,这是因为VF可以在整个温度范围下进行表征。多数半导体器件的每个引脚上都有ESD二极管,其阳极连接至GND,阴极连接至各自的引脚。
为了测试 LM3554,我们可以查看LEDI/NTC 引脚,并从该引脚拉出小电流(< 10mA),同时让温度变化。每个引脚的较大绝对额定值较小为-0.3V,但那是由于ESD二极管在较高结温 +150℃时的VF而引致的。如果将电流限制为小于10mA,我们可以在不损害器件和增加任何自热的情况下查看二极管的VF。从+25℃到+125℃,该引脚的测量结果产生线性响应,斜率大约为1.3mV/℃。一旦这项工作结束,就可以在测量所选 ESD 二极管VF 的同时,让器件在已知功耗下工作。当VF 达到稳态时,RJ-A 将为:

其中VF@TA是ESD二极管在TJ=TA时的VF,VF@SS是ESD二极管在已知功耗(PDISS)下TJ达到稳定状态温度之后的VF。
较后一种方法是使用MOSFET的导通电阻随温度而发生的变化。这种方法是在器件处于上电模式时使用内部PFET来完成。LM3554上的上电模式是指器件停止开关并持续打开PFET。如果VIN升至比VOUT高150mV时就会出现这种情况。在那时,升压转换器无需提升VOUT,而PFET会使VIN直接到VOUT 。
因为电流有些轻微依赖MOSFET的导通电阻,所以有必要在电流接近目标闪光电流时测量 PFET电阻。使用大测试电流的问题是它们可能导致器件发热。克服此问题的方法是将闪光超时时间设置为较低 32ms,并在示波器上测量PFET的电压降。在+25℃到+125℃的情况下,使用1.2A闪光电流,结果显示的斜率大约为 0.42mΩ/℃ 。要注意的一个事情是PFET通过VOUT引脚供电,因此VOUT=5V时,其导通电阻会低于VOUT=3.9V时的电阻值。
使用上述三种方法,当PDISS=1.67W时,使用热量关机测量法得出的结果为45℃/W,使用ESD二极管VF测量法得出的结果为 42℃/W,使用PFET导通电阻法测量的结果为48℃/W。图3显
相关阅读:
- ...· Efinix® 全力驱动AI边缘计算,成功推出Trion™ T20 FPGA样品, 同时将产品扩展到二十万逻辑单元的T200 FPGA
- ...· 英飞凌亮相进博会,引领智慧新生活
- ...· 三电产品开发及测试研讨会北汽新能源专场成功举行
- ...· Manz亚智科技跨入半导体领域 为面板级扇出型封装提供化学湿制程、涂布及激光应用等生产设备解决方案
- ...· 中电瑞华BITRODE动力电池测试系统顺利交付北汽新能源
- ...· 中电瑞华FTF系列电池测试系统中标北京新能源汽车股份有限公司
- ...· 中电瑞华大功率高压能源反馈式负载系统成功交付中电熊猫
- ...· 中电瑞华国际在电动汽车及关键部件测评研讨会上演绎先进测评技术
- ...· 华芯微国产汽车芯片门电路系列(篇一)
- ...· 华芯微国产汽车芯片CAN收发器系列(篇一)
- ...· 华芯微国产汽车芯片DC/DC转换器系列
- ...· 华芯微国产汽车芯片DC/DC转换器系列
- ...· 华芯微国产汽车芯片运算放大器系列(篇一)
- ...· 华芯微国产汽车芯片MOSFET 驱动器系列(篇一)
- ...· 数据采集终端系统设备
- ...· 简仪科技踏上新征程








