前馈仿真设计
张瑞、张永慧
中国电子科技集团第38研究所微波部
摘 要:从前馈技术的基本原理出发,针对多载波系统对放大器提出较高的交调抑制要求,利用MWO微波仿真软件按照器件参数进行了初步的前馈仿真设计,并分析了应用中误差放大对消不理想的主要原因,对主、辅放大器可能存在的增益相位漂移等而导致的误差信号抵消失效等问题,给出了可用于实际设计的前馈框图,对多载波情况下的设计实践工作具有一定的帮助。
关键词:前馈;失真;放大器;频谱调制
0 引 言
随着现代通讯技术的快速发展,高效率的频谱调制技术(QPSK或QAM)需要在放大过程中也保持高线性。然而,几乎所有的放大器都具有非线性特性,因此,采用何种技术来消除这种非线性对输出信号带来的不利影响,就成为线性放大器设计中需要研究的一个问题。目前,对功率放大器进行线性化主要有功率回退、负反馈、预失真、前馈、有源偏置和具有非线性元件的线性放大器(LINC)等技术。其中,功率回退技术能够有效改善窄带信号的线性度,但其效率并不令人满意;有源偏置技术和LINC技术虽然具有较高的效率,但其或对部分器件提出的较高要求、或因复调相信号而需要匹配良好的两路均衡放大链等,都导致其在设计使用方面需要投入更多的精力。而预失真和前馈技术,因其具有较高的准确度和稳定度,并兼顾了一定的效率,因此成为改善宽带信号线性度的主要技术。特别是前馈技术,在良好的设计前提下,往往能够提供更优良的电路性能。
1 基本原理及仿真
前馈技术由贝尔试验室的H.s.Black提出,早期因其本身的特点,如:开环电路导致器件特性随时间变换不能被补偿;在整个频带内电路的转移特性要求严格;前馈的实现需要辅助放大器,提高了成本和设计复杂度等问题而没有被重视。随着对线性化技术研究的深入,其固有的诸多潜在优点也逐渐被大家所认可。前馈技术的基本原理框图如图1所示,由于在前馈放大器的设计中,合适的耦合因子的选择以及辅助放大器本身的特性漂移等对误差信号的抵消有着极大的影响,因此,在实际设计前,应对电路进行仿真设计,并根据仿真结果确定是否需要增加自适应调整电路。

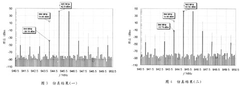
仿真设计中采用一个输出功率约80 W的LDMOS功率管作为仿真的基础器件,着重仿真在一定的功率回退基础上,误差放大器的增益漂移对整个前馈电路的影响。并根据仿真结果得出在预期的交调失真抑制目标下,该误差放大器可以承受的增益改变。为了简化仿真过程,在仿真中忽略了功率管等器件的插入相位问题。图2,图3为基本的仿真电路图及仿真结果,从结果中可以看出,在合适的耦合因子和增益下,前馈可以较好地改善交调抑制结果。


图4 中兰色粗实线部分为增加辅助放大器后的频谱,红色细线部分为未加辅助放大器的输出频谱。从仿真结果可以看出,前馈改善了约50 dB的交调,但在实际使用中,如此巨大的交调抑制改善基本不可实现,其主要原因在于误差放大器本身的增益波动,和实际设计中使用延迟线不能完全等效放大器的插入相位。
在误差放大器回路中增加可调衰减器,以仿真误差放大器的增益波动,从图4的仿真结果可以得知,在误差放大器的增益波动±0.2 dB的情况下,交调抑制结果变差了将近26 dB。同样地,主放大器的增益波动,也会导致输入误差放大器的信号对消不理想,甚至失效,从而影响到交调抑制的改善结果。因此,为降低对主放大器和误差放大器的设计要求,并在一定程度上满足目前对多载波系统的设计要求,可在电路中增加自适应调整电路,其框图可构建成如图5所示的电路。

图5 框图中增加了射频预失真器件,能够帮助改善环路性能,提高整个环路的效率。更进一步的方法是:在图5的基础上,将输入信号和输出耦合信号进行包络比较。
在同样的包络电平情况下,由于非线性失真主要表现在包络幅值的压缩等特性,通过控制两个包络信号的差值较小,来调整误差放大器的增益和相位特性。
2 结 语
对前馈放大进行了计算机模拟仿真,在简化模型后,仿真可以确定合适的耦合因子及误差放大器对增益起伏的要求。针对主、辅放大器可能存在的增益相位漂移等而导致的误差信号抵消失效等问题,给出了可用于实际设计的前馈框图,对多载波情况下的设计实践工作具有一定的帮助。
相关阅读:
- ...· Efinix® 全力驱动AI边缘计算,成功推出Trion™ T20 FPGA样品, 同时将产品扩展到二十万逻辑单元的T200 FPGA
- ...· 英飞凌亮相进博会,引领智慧新生活
- ...· 三电产品开发及测试研讨会北汽新能源专场成功举行
- ...· Manz亚智科技跨入半导体领域 为面板级扇出型封装提供化学湿制程、涂布及激光应用等生产设备解决方案
- ...· 中电瑞华BITRODE动力电池测试系统顺利交付北汽新能源
- ...· 中电瑞华FTF系列电池测试系统中标北京新能源汽车股份有限公司
- ...· 中电瑞华大功率高压能源反馈式负载系统成功交付中电熊猫
- ...· 中电瑞华国际在电动汽车及关键部件测评研讨会上演绎先进测评技术
- ...· 华芯微国产汽车芯片门电路系列(篇一)
- ...· 华芯微国产汽车芯片CAN收发器系列(篇一)
- ...· 华芯微国产汽车芯片DC/DC转换器系列
- ...· 华芯微国产汽车芯片DC/DC转换器系列
- ...· 华芯微国产汽车芯片运算放大器系列(篇一)
- ...· 华芯微国产汽车芯片MOSFET 驱动器系列(篇一)
- ...· 数据采集终端系统设备
- ...· 简仪科技踏上新征程








