NI M系列DAQ中使用的新技术
概览
NI公司的M系列数据采集设备 (DAQ),以全新的革命性架构,为数据采集硬件功能设定了新标准。这些设备除集成了市面上较先进的技术之外,还吸纳了一些全新设计优势,显著改善其性能,准确性与I/O通道密度:
- NI-STC 2 – 自定义的定时控制器ASIC
- NI-MCal技术 – 具有革命性的校准和线性化方法
- NI-PGIA 2技术 可自定义的增益放大器
NI-STC 2是专门为M系列DAQ设备设计的专用集成电路(ASIC)。它增加了每个设备的I/O通道数目,并将数据总吞吐率提高了1200%。NI-MCal技术 是一种线性化校准工具,可在所有输入范围内获得无与伦比的精度改善。另外,NI-PGIA 2的可自定义放大器技术,提供了更快的采样速率和更高的分辨率。NI-PGIA 2有三个分别针对成本、速度和精度而优化的版本。

图 1新型M系列技术提供了更高性能、更多I/O数与更大价值
NI-STC 2 – 自定义的系统定时控制器ASIC
NI-STC 2是一款可自定义的ASIC,它可以控制系统的定时、同步以及所有输入输出数据采集操作的路由功能。NI-STC 2 提供了:
- 6条DMA通道 – 每个功能都有专属的scatter-gather DMA控制器
- 时钟定时的数字I/O (高达10MHz)
- 与编码器兼容的32位计数器/定时器
- RTSI总线信号路由,用于多个设备的同步
- 内部和外部定时信号路由
- 用于时钟同步的PLL
NI-STC 2 – 6个DMA通道
许多即插式数据采集设备并不受限于它们的采样或更新速率,而是受限于它们将数据传送到PC机内存的速度。老式数据采集设备使用中断请求线路 (IRQ)将数据从设备传送至PC机,并且需要设定跳线以避免内存冲突。IRQ使用计算机处理器来控制数据传输,这样会封锁其它PC机正在处理的操作,从 而使效率下降。现代数据采集设备拥有板上直接存储器存取(DMA)通道,可以不需要通过CPU,直接将数据从数据采集设备传送至PC内存。DMA可以高速 传输数据,并使CPU同时执行其它工作。
新一代数据采集设备(包括M系列设备),都拥有六条DMA通道。将这项技术应用到NI-STC 2的设备系统和定时控制器中,只需一个设备就可以同时执行模拟输入、模拟输出、数字输入、数字输出和两个计数器/定时器操作;同时,PC处理器可以执行其 他一些操作,如数据换算及分析等。因为其它数据采集设备大部分都只有一条DMA通道,所以要同时执行两个或两个以上的操作就必须使用IRQ。随着数据传输 率的增加及更多操作的同时进行,这些IRQ将开始占用PC处理器时间,使系统变慢,较终将导致缓冲区溢出错误。而M系列DAQ设备则采用NI STC 2技术,较多可同时执行六项高速操作,同时将数据丢失或缓冲区溢出的错误造成的错误减到较小。

图 2 NI-STC 2拥有6条DMA通道,可大幅度地提高数据吞吐率
NI-STC 2 – 数字I/O与计数器/定时器
除了16个静态数字I/O线路之外,NI-STC 2还包括了较多可达32个的硬件定时的数字I/O线路,可以以较高10 MHz的速率输入或输出数字模式。每个信号都可独立地设置为数字输入、静态输出或者波型输出。NI-STC 2的数字输入输出有专用的FIFO缓冲区,每个缓冲区都有专用的DMA通道向FIFO和PC内存中读写数据。你可以使用线路组来产生或测量32位宽的数字 模式。这种模式I/O功能对于那些读取条形码或读取模数转换器(ADC)之类的部件定性应用来说是非常有用的;任何要求微秒数量级定时精度的应用中也需要 这种功能。
你还可以将数字线路与其它硬件定时的操作(如模拟输入、模拟输出和计数器等)相关联,使设备上的多个操作同步。为了使信号相关,NI-STC 2内部会安排一根外部或内部信号线,为那些相关的信号提供单一时钟源。
所有M系列DAQ设备都包含了两个32位计数器/定时器,用于脉冲生成和频率测量。与常规的24位计数/定时寄存器相比,M系列设备拥有256倍的 测量容量。另外,与老式数据采集设备上常见的20 MHz时间基频相比,板上80MHz的时间基频将脉冲测量精度提高了400%,而且允许测量更高速的波形。基于这个计数器,你可以利用正交编码器或者双脉 冲编码器来进行位置测量,或者利用X1、X2和X4角度编码器来进行角度测量。
NI-STC 2 – 定时与同步
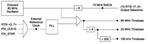
NI-STC 2通过分割80MHz的主频而生成多个时间基频。这些信号可以作为模拟输入、模拟输出、数字I/O和计数器/定时器的时钟来源来内部使用。每个M系列设备 也能够从这个80MHz时钟中生成自身的10MHz的参考时钟,用来同步多个设备。这个10MHz的参考时钟可以通过RTSI总线连接至同一系统中的其它 设备上。
传统上,使用RTSI总线来同步设备将使每个设备的较大时钟频率速率限制在10 MHz上。采用NI-STC 2技术的M系列设备中都有一个锁相环(PLL),它可以让系统中的每个设备将自身的80MHz基频同步到10MHz主频上。有了这项技术,所有设备不仅可 以同步到同一个主频上,还可以利用板上所生成的更快的80MHz定时信号。

图 3 M系列设备生成一个板上80MHz频率与一个PLL,以同步多个设备
NI-MCal技术 – 校准和线性化方法
ADC以及可编程放大器等电子元件,都具有非线性特征以及由于时间和温度影响而引起的漂移。要补偿这些固有误差,就需要设备的自校准。老式的数据采 集设备使用板上的精确参考电压,在某个测量范围内进行两点式修正。这种方法无法避免ADC元件本身的非线性误差,因此降低了设备的测量精度。另外,这种方 法只能在某一输入范围内进行校准,那么对多个不同输入范围的通道而言,测量精度就会受限于电阻网络的容差。
M系列设备则采用了NI-MCal技术。这是一种线性化与校准引擎(专利申请中),可以在所有输入范围内校准数千个电压准位。NI-MCal将脉冲 宽度调制(PWM)和高精度的参考电压结合在一起使用。PWM的占空比用来改变电平,以便能在多点进行自校准。在板载EEPROM中生成并存储校准参数, 以模拟ADC元件的非线性特性,并更正后续的测量任务。
与传统的两点式校准相比,NI-MCal技术的实现将测量的精度提高了5倍之多。另外,大部份M系列设备都改善了参考精度,将建议的校准时间间隔由一年提高到两年,从而降低了设备的维护成本。
|
|
M系列 |
老式E系列 |
|
校准类型 |
多项式校准,所有输入范围 |
线性校准,一个输入范围 |
|
典型自校准时间 |
7秒 |
30秒 |
|
校准间隔需求 |
两年 |
一年 |
表1:M系列与E系列的校准比较
ADC在快速扫描多个通道时,其建立时间会大幅影响转换精度。所谓建立时间,是指放大某信号使之达到某一特定测量精度标准所需的时间。如果放大器没 有足够短的建立时间,则被测量信号的量化将不准确。更短的建立时间可以在保证精度的条件下,允许进行更高速的采样。因此,对任意给定的分辨率或精度,都需 要更短的建立时间。
为了保证测量精度,NI在设计M系列设备时引入了定制NI-PGIA 2技术。M系列的每台设备中NI-PGIA 2技术都针对成本、速度和精度进行了优化。例如,高精度的M系列设备中的NI-PGIA 2技术,针对18位的短建立时间、低噪音、高线性进行了优化。NI-PGIA 2技术通过较小化建立时间,可以在较大采样频率下保证设备的指定分辨率,从而提高了精度。图4表明,高速的M系列NI-PGIA 2在20 V电阶(较糟的案例)情况下,可以在1.5 µs内达到虚零误差。

图 4 NI-PGIA的建立时间比传统产品更短
更多的 I/O 和其他特征
M系列设备为即插式数据采集新增了一些额外功能,以提高测量精度和安全性,并易于使用。尽管12位和16位的数据采集设备已经成为现今的测量标准, 但M系列的设备却有18位的分辨率。18位ADC所能检测到的较小电压变化,仅仅是16位设备的1/4,更是12位设备的1/64。这些18位的设备还包 含一个可编程的低通滤波器,可以避免高频噪声的量化。
M系列设备的数字线路具有过压、低压及过电流保护装置,可以在过高的信号被意外加到数字线路上时,避免对设备及 PC 造成损坏。另外,工业继电器和交换器中常常有数字跳跃(digital bounce)现象,而计数器/定时器线路中的输入滤波器可以避免这种现象。数字保护和计数器/定时器的线路滤波器,对于工业及控制应用都特别有用。
所有M系列设备都具有NI-DAQmx的测量服务及驱动程序软件。NI-DAQmx为数据采集的生产率和性能带来空前的 改进。集成的DAQ助手提供了一个一步一步的向导工具,帮助对测量任务进行配置、测试和编程。另外,NI-DAQmx支持多线程,这样便可以
相关阅读:
- ...2013/03/27 10:10·基于NI PXI Express平台的石油管复合挤毁试验机控制与数据采集系统搭建
- ...2012/09/24 13:59·NI PXI结合FPGA实现较佳WLAN测量,支持802.11ac
- ...2012/09/24 13:28·NI PXI缩短射频功率放大器的特征化时间
- ...2012/09/17 13:57·UFSC将LabVIEW和NI CompactDAQ应用于车辆通过噪声测试的声学波束成形中
- ...2012/09/04 13:39·使用NI LabVIEW对手机LCD组件进行灵活可靠的自动化测试
- ...2012/08/28 14:37·消除有扰射频: 基于LabVIEW和NI USRP进行射频/通信物理层研究
- ...· Efinix® 全力驱动AI边缘计算,成功推出Trion™ T20 FPGA样品, 同时将产品扩展到二十万逻辑单元的T200 FPGA
- ...· 英飞凌亮相进博会,引领智慧新生活
- ...· 三电产品开发及测试研讨会北汽新能源专场成功举行
- ...· Manz亚智科技跨入半导体领域 为面板级扇出型封装提供化学湿制程、涂布及激光应用等生产设备解决方案
- ...· 中电瑞华BITRODE动力电池测试系统顺利交付北汽新能源
- ...· 中电瑞华FTF系列电池测试系统中标北京新能源汽车股份有限公司
- ...· 中电瑞华大功率高压能源反馈式负载系统成功交付中电熊猫
- ...· 中电瑞华国际在电动汽车及关键部件测评研讨会上演绎先进测评技术
- ...· 华芯微国产汽车芯片门电路系列(篇一)
- ...· 华芯微国产汽车芯片CAN收发器系列(篇一)
- ...· 华芯微国产汽车芯片DC/DC转换器系列
- ...· 华芯微国产汽车芯片DC/DC转换器系列
- ...· 华芯微国产汽车芯片运算放大器系列(篇一)
- ...· 华芯微国产汽车芯片MOSFET 驱动器系列(篇一)
- ...· 数据采集终端系统设备
- ...· 简仪科技踏上新征程








