提高工业视觉测量系统精度的途径
一、引 言
工件三维曲面或三维轮廓测量技术广泛应用于工业、科研、国防等领域。汽车车身、飞机机身、轮船船体、汽轮机叶片等加工制造中的在线检测,特别是大型工件的曲面检测一直是生产中的关键技术难题。该类工件在车间条件下一般采用靠模法测量,但可测截面少,测量精度低;在计量室条件下采用三坐标测量机测量虽然精度较高,但数据采集速度慢,测量成本高,且难于实现在线测量。鉴于接触式测量方法的局限性,激光三角法、莫尔投影法、工业视觉测量法等多种非接触测量方法日益受到重视,其应用也渐趋广泛。
工业视觉测量技术(或称数字近场摄影测量技术)是一种立体视觉测量技术[1],其测量系统结构简单,便于移动,数据采集快速、便捷,操作方便,测量成本较低,且具有在线、实时三维测量的潜力,尤其适合于三维空间点位、尺寸或大型工件轮廓的检测。
二、测量原理
利用CCD摄像机可以获得三维物体的二维图像,即可以实现实际空间坐标系与摄像机平面坐标系之间的透视变换。通过由多个摄像机从不同方向拍摄的两帧(或两帧以上)的二维图像,即可综合测出物体的三维曲面轮廓或三维空间点位、尺寸。
为便于说明,设物空间坐标系为O-XYZ,CCD像面的像平面坐标系为o-xy。
现以双摄像机为例说明系统的透视变换关系。如图1所示,P为任一空间三维物点,设该点的物空间坐标为P(X,Y,Z),其在摄像机Ⅰ和摄像机ⅡCCD像面上的像点坐标分别为P1(x1,y1)和P2(x2,y2)。

图1 物空间坐标系和双摄像机的像平面坐标系
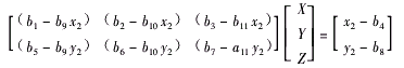
对于摄像机Ⅰ,像点坐标与物点坐标的变换关系为[2]
(1)
其中w1为非零参数,a1,a2,…,a11为系统变换矩阵的元素,与摄像机Ⅰ的安放位置及成像系统Ⅰ的参数有关,可通过系统定标来确定。
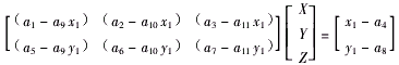
对于摄像机Ⅱ,像点坐标与物点坐标的变换关系为
(2)
其中w2为非零参数,b1,b2,…,b11为系统变换矩阵的元素,与摄像机Ⅱ的安放位置及成像系统Ⅱ的参数有关,也可通过系统定标来确定。
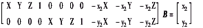
式(1)和式(2)可分别化为
(3)
(4)
其中A=[a1,a2,…,a11]T;B=[b1,b2,…,b11]T。ai和bi加起来共22个未知参数,利用一个已知靶点和它在两个CCD像面上的像点可建立4个线性方程,欲求出22个未知参数,则至少需要6个已知靶点。利用已知的6个或6个以上靶点,根据上述方程即可求得这些参数。这是测量工作的第一步,称为系统定标,即求出双摄像机组成的测量系统的变换矩阵A和B。
测量的第二步是根据被测点在两个CCD像面上的像点坐标P1(x1,y1)和P2(x2,y2)求得未知点P的物空间三维坐标(X,Y,Z)。
由式(1)和式(2)还可得到
(5)
(6)
由上式可求得3个未知数X,Y,Z,即P点的三维空间坐标值。这样就可以利用双摄像机拍摄的两个二维图像逐点测量物体的三维轮廓或尺寸。
工业视觉测量实验系统如图2所示。系统由两个CCD摄像机(分辨率为510(H)×492(V)像素)、一个带有6个以上参考点(已知坐标)的靶标、一块图像采集卡(3路,8位,256灰度阶,分辨率为512×512像素)、被测物体、一台PC机及相应软件组成。

图2 工业视觉测量实验系统
靶标用于对由两个摄像机构成的系统进行定标,其上的各靶点空间位置坐标都是预先经精确测定而已知的。图象采集卡把CCD接收到的图像信号输入计算机,由计算机进行处理。
将靶标上特征点的坐标和两个CCD像面上对应像点的坐标代入式(3)和式(4),便可确定两个成像系统的变换矩阵,即完成系统定标。工件上的待测点可以通过粘附高反射标记或用激光投射光点产生。把每个待测点在两个摄像机像面上的像点坐标代入式(5)和式(6),由系统的变换矩阵即可确定该待测点在实际空间坐标系中的坐标值(X,Y,Z)。若采样率足够大,即可逐点测量并重建工件的复杂曲面轮廓。
三、影响精度的因素及提高精度的途径
对于三维空间点位或距离的测量,影响工业视觉测量系统精度的测量误差主要产生于定标和测量两个步骤中。现对影响系统精度的主要因素及提高精度的途径作一分析。
1.CCD摄像机和图象采集卡的分辨率
由于工业视觉测量系统成像倍率较大,CCD摄像机及图象采集卡的分辨率对点位在空间的测量精度影响极大,因此应用于测量目的的立体视觉系统宜采用尽可能高的分辨率,因硬件系统分辨率有限造成的像面目标点的定位误差可通过软件补偿进一步减小,使其达到亚像素级。
2.成像系统的畸变
在工业视觉测量系统的测量模型中,认为透镜成像处于理想状态,而客观存在的成像系统畸变会导致系统产生定标误差。透镜畸变误差可表示为
(7)
式中 ki,pi——与透镜畸变有关的参数
r——像面的点离开光轴的距离
通过对式(1)和式(2)中的x,y进行误差补偿(补偿值为Δx,Δy),然后建立新的非线性方程组,即可解出准确的系统定标参数。对于双摄像机系统,可补偿畸变误差的测量模型[3]共需求出32个参数,因此定标时至少需要8个已知特征点。
3.靶标的设计
对于一个摄像机,式(3)和式(4)代表物空间点(X,Y,Z)和其像点(x,y)所确定的一条直线,6个特征点表示有6条直线通过透镜的投影中心,但由于畸变等非线性的影响,6条直线不会完全交汇于同一投影中心,而是在投影中心附近形成一松散的直线束。通过合理安排定标点的位置,使这一直线束越紧密,则表示非线性的影响越小。由此可得出结论:每3个定标点和透镜投影中心非共面时,系统的定标精度可大为提高。一般使靶标上不存在3点共线即可[4]。
有条件时,靶点的分布及其范围应尽可能考虑测量对象的范围和形状,因为被测物体越靠近靶点,测量精度越高。靶标上通常至少需要6个靶点,考虑补偿透镜畸变时则需8个以上靶点。适当增加靶点,在系统定标时可达到较高精度。
通常选用圆形靶点,白底黑点或黑底白点均可。靶体应稳定,不易变形,并预先用三坐标测量机精确测量靶点的空间位置,其测量精度对系统定标精度将产生直接影响。
4.两摄像机光轴交角
成像系统采用透视投影原理,位于一条空间直线上的点都能成像在同一个像点位置。像面上目标点中心的定位误差如在一个圆形区域内,它在物空间则对应一个圆锥形区域,两个摄像机因像面上目标点定位误差产生的纵深方向的物点测量误差将由两个圆锥的交叠部分决定,见图3。

图3 纵深误差分析示意图
图中,O为空间物点,AS,A′S′为两摄像机成像面,P和P′为两投影中心,α为两光轴交角,摄像机焦距为f,目标点中心定位误差为Δl,物点到摄像机投影中心的距离为L。根据几何关系,纵深方向测量误差近似为
ΔZ≈LΔl/fsin(α/2) (8)
例如:Δs=0.001mm,f=16mm,L=2000mm,α=60°,则ΔZ=0.25mm。
随着两摄像机光轴交角的增大,测量时因像面目标点中心定位误差引起的纵深方向测量误差减小。根据放大倍率公式,X,Y方向误差为
ΔX=ΔY≈LΔl/f≈0.13mm
从式(8)还可看出,纵深方向测量误差还与物点距离L成正比,物体距离越远,测量误差越大。
5.像面上目标点的定位
在系统定标和点位测量两个步骤中,像面目标点像斑中心位置的定位精度是影响较终测量精度的主要原因。影响定位精度的因素有目标点像斑边缘平滑、像斑灰度不均匀、形状不规则等。此外,由于环境光线和电路噪声等因素的影响,还存在图像噪声。
通常需要采用图像处理技术对像斑进行边缘锐化等处理。确定中心坐标的算法主要有对称法、几何中心法、能量中心法、二次曲面拟合法[5]等。其中,对称法受像斑灰度不均匀的影响较大;采用几何中心法时,如像斑边缘确定不准确,则定心误差较大;能量中心法和二次曲面拟合法可达到亚像素级定心精度,但计算量偏大。
测量时,靶点或测量点形状应规则,环境照明应尽量均匀,尽量减少杂散光的影响。采用激光束照明产生待测点时,光点形状有时会不规则。
四、空间点位测量实例
采用图2所示的工业视觉测量系统进行空间点位测量。被测物体到两摄像机连线的垂直距离为2000mm,两摄像机光轴交角为53°。分别采用6靶点(不考虑透镜畸变)和8靶点(透镜畸变补偿)对系统定标,然后对部分点的三维坐标进行测量。每点测量10次,在X,Y,Z方向均给出测量平均值、标准差、偏差以及测得的点位到实际点位的距离d。测量数据见表。
表 空间点位测量结果
| 点号 | 真值l ( 相关阅读:
产品快讯更多
企业新闻更多
关于我们 | 联系我们 | 本站动态 | 广告服务 | 欢迎投稿 | 友情链接 | 法律声明
Copyright (c) 2008-2026 01ea.com.All rights reserved.
电子应用网 京ICP备12009123号-2 京公网安备110105003345号 |








