高精度半导体激光器驱动电源系统的设计
O 引 言
半导体激光器(LD)是一种固体光源,由于其具有单色性好,体积小,重量轻,价格低廉,功耗小等一系列优点,已被广泛应用。LD是理想的电子-光子直接转换器件,有很高的量子效率,微小的电流和温度变化都将导致其输出光功率的很大变化。因此,LD的驱动电流要求非常高,必须是低噪声、稳定度高的恒流源,一般电源很难满足要求。此外,瞬态的电流或电压尖峰脉冲,以及过流、过压都会损坏半导体激光器。这里将以TI公司的DSP芯片TMS320F2812为控制核心,实现带有多种保护的双闭环高精度半导体激光驱动电源系统。
1 系统总体设计
恒流源一般采用集成运算放大器和一些分立元器件及单片机构成的“压控恒流源”方法实现,与纯模拟元件构成的恒流源相比,这种方法在恒流精度和线性度上都有明显的提高。但是该方法中单片机是用作显示与控制电压的给定,并未对输出电流实时检测和控制,属于开环控制系统,影响了恒流源的稳定性及精度。该系统由“压控恒流”电路、信号采样和调理电路、保护电路、键盘、LCD显示、RS 232通信接口以及DSP处理器等环节组成,系统结构框图如图1所示。

通过键盘输入给定,并在LCD上显示,同时经F2812运算处理后输出相应占空比的PWM信号。PWM经低通滤波器、放大调理后实现D/A变换并作为“压控恒流”模块(V-I Constant Current)的控制电压实现“压控恒流”。F2812实时对输出的电流采样,采样数据经数字滤波、分析处理后与给定电流值相比较,得到差值作为PI调节算法表达式中的输入量,通过PI运算得到控制量Uk来调整PWM的输出实现恒流。
2 系统硬件设计
2.1 直流电源模块实现
直流电源模块主要由变压、整流、滤波、稳压和“扩流电路”组成。直流电源模块如图2所示。+15 V用于“压控恒流模块”和运算放大器供电;-15 V用于运算放大器负电源供电;+5 V用于数控模块供电。将+5 V用高精度、高稳定性的稳压芯片稳压后再为DSP处理器供电。

“扩流电路”由电阻Rp3和大功率达林顿管TIP147组成,调节Rp3可使+15 V电流得到2 A以上的大电流输出。为减少直流电流中纹波采用RC-π型有源滤波方法,变阻Rp1,Q1,C3与Rp2,Q2,C4组成两个RC滤波电路分别对+15 V和-15 V电源高效滤波。为NPN型晶体管,利用晶体管的电流放大作用可以间接增大滤波电容的容值。
假若Q1和Q2放大倍数为β1和β2,则Q1,Q2基极电容C3,C1等效到射极,分别就为(1+β1)C3和(1+β2)C4,从实现大电阻大电容滤波并减小了电路的体积。图中D5,D6为电源故障显示,D7和D8起保护稳压器LM7815,LM7915的作用。当输出端有负载时,如果LM7915稳压器的输入端开路,这时LM7915无输出,+15 V经负载加到LM7915的输出端以致损坏LM7915。LM7815的保护原理相同。
2.2 恒流源模块实现
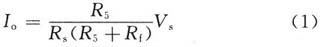
“压控恒流”是通过控制输入电压的变化控制输出电流。恒流源电路原理如图3所示。通过硬件电路实现闭环负反馈,即内闭环。图3中电阻Rs,R4,R5,RF和运放U5构成反馈网络。假若运放U4是理想的,设输入电压为Vs,输出电压为Uo。由运放“虚短”可得:


Rs,R5,Rf不变时,输入电压Vs恒定输出电流Io恒定。运放U4,U5,电阻Rs,R5,Rf自身的稳定性恒流源的稳定性起决定性作用。因此,U4,U5选用高精度运放OP-27,其漂移仅为O.2μV/℃,较大噪声电压为O.25μV。R5,Rf选用温漂系数低、精度较高的电阻。采样电阻Rs选用阻值为0.01 Ω大功率锰铜丝电阻,其精度为1%。Q5为大功率达林顿管2SD1559,由于集成运算放大器一般工作在小电流状态,因此用一个小功率晶体管Q4(9014)驱动Q5。C15,C16,D9,L1构成低通滤波以减少电源中高次谐波对LD的影响,D5在Q5截止时起到扼制流作用。
2.3 A/D与D/A模块实现
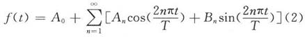
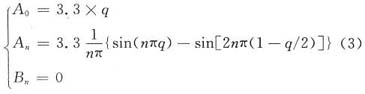
F2812芯片内置12位ADC(模/数转换器),输入电压为0~3 V,12位的ADC采样的分辨率为(3.0 V-O V)/212=0.73mV。F2812根据预置的电流值对PGA103的A1A0引脚置位(A1A0=OO,A1A0=01,A1A0=10分别对应的放大倍数为1,10,100),信号调理如图3所示。F2812内没有配置DAC模块,要实现D/A功能需要外接D/A转换芯片,转换精度与芯片的价格成正比关系,这无疑增加了硬件成本。F2812芯片提供的PWM信号,是一种周期和占空比均可变、高电平VH=3.3 V,低电平VL=O V的脉宽调制(PWM)信号。由傅里叶变换可知,对于以时间轴原点为对称点的、单极性的PWM信号可写成表达式:

式中:T为信号周期;n=±1,±2,±3±…;An,Bn为各自独立的傅里叶系数。

由式(3)可知只要将高频直流分量An滤除,改变PWM信号占空比q(q=O~1)时,可以得到输出电压O~3.3 V。由于三阶低通滤波器较之于一阶与二阶低通滤波器有更好的性能。采用“归一化”方法设计一个Butterworth三阶反馈有源低通滤波器,如图4所示。低通滤波器的传递函数表示为:

式中:G,bn-1,…,b0为适当选择的常数。图4低通滤波器要满足式(4)必须具备以下条件,

由归一化方法可得,将截止频率fc(Hz)和电容C21都归一化,所以电阻系数为K=100/fcC',C'是以μF为单位的C21值,要使增益G=2时。由文献[6]中表2-54可知,K=1时所对应电阻R6~R10电容C22~C23(μF)的系数分别为2.491,2.339,0.692,11.043,11.043,C21,C21。选择fc=1 000,C'=O.01时,图4中R6~R10,C21~C23分别为24.49l,23.39,6.92,110.43,110.43,O.01,O.01,O.01。经EWB仿真软件仿真可知该三阶滤波电路得到很好的滤波性能,ButterWorth滤波在通带内没有纹波,这使得PWM到D/A变换精度上得到保证,仿真结果如图5所示。

2.4 键盘与显示实现
键盘的功能是输入预置电流值并且可以实时修改。键盘采用16个键,“0~9”和“·”键用于数字输入;“ENTER”,“CANCLE”键表示确认、取消;“↑”,“↓”键表示步进量增加、减少;“NUM”键表示步进量选择。预置电流步进量分为±10 mA和±1 mA,可以输入10~2 500 mA范围内电流值,预置电流输入按下“EN-TER”键后即可在LCD上显示。数据显示选择常用的液晶显示LCD1602A,将预置输出电流值和实时采样电流值分成两行显示。
2.5 LD保护电路
半导体激光器LD的PN结非常脆弱,极容易损坏。瞬时的电流突变,容易使半导体激光器两端面腔镜产生损伤造成激光器永久性损坏。慢速启动(也称为软启动)是指驱动电源开启后,控制电压Vs不突然加在整个恒流电路上,而是在设定的时间内从零逐渐升至Vs。将几个前向导通的二极管与激光器LD串联可以有效延长LD管的使用寿命,因为当发生大的前向电压时,这些二极管导通,电流将不会从激光管LD通过,从而避免损坏LD管。在LD两端并联一个小电容,同时并联一个反向二极管防止LD受到过大的反向电压而损坏。为防止过电流,可采用软件和硬件保护,即采样的电流值经处理后与限流值比较,大于限流值时,将开关管Q6导通,V4被箝为0 V使调整管截止达到限流的目的。
3 系统软件设计
软件采用汇编语言编写,可以通过键盘实时修改电流的给定值,同时LCD可以显示给定值和实测值。为方便调试系统软件采用模块化设计,主要包括主程序,给定给定、LCD显示及PI调节等子程序。
系统的初始化包括DSP外围接口芯片和电流给定的初始化,键盘扫描包括给定和步进量的调整。系统主程序与外环调节程序流程图如图6所示。

4 结 语
在该设计中,采用硬件闭环负反馈与数字闭环结合的方法,构成双闭环恒流电源。硬件闭环负反馈具有很强的恒流特性,并降低数字闭环工作量。数字闭环主要起精细调整作用,使系统恒流精度得到提高。此外,充分利用F2812内置资源简化了外围芯片设计复杂性,同时,16路的ADC通道和PWM输出可以对多个恒流电源测控。因此该系统可以广泛用于光纤传感、光纤通信以及有源电流互感器的激光供能等多方面,有着良好的应用前景。
相关阅读:
- ...2015/11/30 17:13·减少高精度DAC中的加电/断电毛刺脉冲
- ...2012/03/30 15:07·利用先进的热电偶和高分辨率Δ-ΣADC实现高精度温度测量
- ...2012/03/06 14:59·高精度伺服系统的模糊CMAC补偿控制
- ...2012/02/03 11:33·基于TMS320X2812的高精度转角测量系统设计
- ...2011/10/31 16:02·基于SoC的高精度电子血压检测仪实现方法
- ...2011/09/21 16:27·基于MSP430单片机的高精度电子天平设计
- ...· Efinix® 全力驱动AI边缘计算,成功推出Trion™ T20 FPGA样品, 同时将产品扩展到二十万逻辑单元的T200 FPGA
- ...· 英飞凌亮相进博会,引领智慧新生活
- ...· 三电产品开发及测试研讨会北汽新能源专场成功举行
- ...· Manz亚智科技跨入半导体领域 为面板级扇出型封装提供化学湿制程、涂布及激光应用等生产设备解决方案
- ...· 中电瑞华BITRODE动力电池测试系统顺利交付北汽新能源
- ...· 中电瑞华FTF系列电池测试系统中标北京新能源汽车股份有限公司
- ...· 中电瑞华大功率高压能源反馈式负载系统成功交付中电熊猫
- ...· 中电瑞华国际在电动汽车及关键部件测评研讨会上演绎先进测评技术
- ...· 华芯微国产汽车芯片门电路系列(篇一)
- ...· 华芯微国产汽车芯片CAN收发器系列(篇一)
- ...· 华芯微国产汽车芯片DC/DC转换器系列
- ...· 华芯微国产汽车芯片DC/DC转换器系列
- ...· 华芯微国产汽车芯片运算放大器系列(篇一)
- ...· 华芯微国产汽车芯片MOSFET 驱动器系列(篇一)
- ...· 数据采集终端系统设备
- ...· 简仪科技踏上新征程








