功率器件:具备优化特性的新一代功率半导体解决方案
作者:Wilhelm Rusche,工业驱动部门IGBT模块营销工程师,英飞凌科技股份公司
对于采用先进、高效的变频器的工业节能应用市场而言,经过优化的各种功率半导体是不可或缺的。英飞凌推出的全新1200V IGBT4系列,结合改进型发射极控制二极管,针对高中低功率应用提供了三款产品,可面向不同应用满足现代化变频器的要求。
这三款经过优化的芯片分别是:具备快速开关性能的IGBT4-T4芯片,适用于标称电流为10A至300A的低功率模块;具备良好开关和导通特性的IGBT4-E4芯片,适用于标称电流为150A至1000A的中功率模块;具备软开关性能的IGBT4-P4芯片,适用于标称电流大于900A的高功率模块。
IGBT4-P4芯片在其他报告中进行详细介绍,因此,本文将重点介绍中低功率芯片。
成功开发全新芯片的两个准则是实现低的静态和动态损耗。IGBT4技术还使芯片的允许工作结温提高25℃,达到Tvjop=150℃。
表1对比了全新IGBT4及其前代IGBT3的电气性能。
表1.全新IGBT4及其前代IGBT3的电气性能的对比。
全新1200V IGBT4功率半导体的较高允许工作结温达到150℃,而其前代的较高允许工作结温为125℃。
英飞凌较初是在其第三代600V功率半导体上实现了150℃的较高允许工作结温。
在相同的冷却条件下和整个温度范围内,工作结温越高,输出功率越大。
此外,如图1所示,优化的组装技术显著改善了功率循环(PC)周期。这至少能确保在工作结温增大的情况下,输出电流增大但功率器件寿命不变——或者在相似输出功率条件下,提高器件的使用寿命,见图1。

图1. 在接通时间约为1秒和电流约为标称电流条件下,1200V标准模块使用寿命图和EconoPACK模块的典型使用寿命。
IGBT性能
然而,只降低损耗还远远不够。器件本身的开关特性也是一个重要问题。
由于IGBT3系列的柔软度足够适用于几乎所有中低功率应用,因此IGBT4的开发目标是具有与前代IGBT3系列相似的柔软度。
图2显示外部栅极电阻导致的开关损耗。对于许多栅极电阻而言,关断损耗不取决于Rg,这可由IGBT固有的开关特性进行解释。

图2. 栅极电阻导致的关断损耗(Tvj=125℃,Vce=600V,Ic=300A,L=30nH)。
在dv = L*di/dt条件下,当开通和关断时,杂散电感与电流梯度共同作用可影响电压特性。如果关断时杂散电感L较大,电压就会过压,导致损耗增大,如表2所示。
表2. Tj=125℃条件下,杂散电感导致的300A/600V中功率IGBT4-E4的损耗。

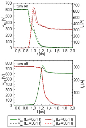
IGBT柔软度与关断损耗对栅极电阻非常不敏感。在标称电流条件下的开关性能对比参见图3和图4。

图3. 在Tj=25°和L等于30nH条件下,低功率300A IGBT的关断操作。

图4. 在Tj=25°和L等于65nH条件下,中功率300A IGBT的关断操作。
IGBT4-T4拥有比低功率IGBT3-T3芯片略高的柔软度,而IGBT-E4拥有比中功率IGBT3-E3芯片略高的柔软度。按照设计目的,E系列柔软度明显高于T系列,因此可以在更高直流侧电压和/或更高相联电感的条件下关断E4。
更重要的是,当L值增大时,关断会更不平滑。因此,300A IGBT4-E4能在直流母线杂散电感为65nH以及直流侧电压为900V的测试条件下依然实现软关断就很令人放心了(图4)。图5显示在电流下降沿增大期间,因杂散电感的增加而引起的压降。

图5. 在Tj=125℃条件下,受杂散电感影响的 300A 中功率IGBT4的开关特性。
为某种应用选择较佳的IGBT时,还必须考虑杂散电感对二极管特性的影响。在所举例子中,发射极控制高效二极管的开关损耗和柔软度受增加的杂散电感的影响可以忽略不计。发射极控制高效二极管采用成熟的发射极控制技术。
然而,如果较高的直流侧电压与增大的杂散电感同时出现,则需要通过增大外部门极开通电阻,降低开关速度,实现二极管的软开关。增大的外部门极电阻会使开通损耗增大。增加的杂散电感降低了IGBT与二极管的柔软度,但也为所有IGBT模块带来优化机会。
通过IPOSIM计算
为了估评新器件在变频器模式下的运行状况,可通过计算工具IPOSIM计算损耗特性。IPOSIM计算只需输入静态损耗和动态损耗以及热数据和环境温度即可完成计算。一种方法是计算由结温产生的较大RMS电流和开关频率。对62mm半桥模块(图6)的IGBT计算结果表明,这种全新芯片在125℃温度条件下,与前代芯片相比,输出电流能力增大。此外,如果可以使用应用许允的150℃工作结温,就能够使同一组件的输出电流能力增加较大17%。

图6. 利用IPOSIM计算由开关频率导致的300A半桥模块的较大RMS输出电流(600V直流电路),Rth(heatsink)=0,1K/W,Tambient=40℃;cos(phi)= 0,8。
进一步通过IPOSIM计算,对比新器件与前代器件。首先,在结温为125℃条件下,计算8kHz频率下E3的较大Irms。接下来计算所有其他型号芯片在相同变频器输出电流条件下的损耗。图7概括了计算结果。E4模块的损耗大约比E3模块的损耗低3%,但与T3的损耗相当。T4的损耗与E4相比,降低约3%。

图7. 与发射极控制高效二极管结合使用的300A IGBT的损耗与温度计算值:IRMS=214,2A,Rth(heatsink)=0,1K/W;f=8kHz;Tambient =40℃;cos(phi)= 0,8。
结论
全新功率半导体经过优化,实现了性能提升,能在工作结温增大(Tvjop=150℃)的情况下,提高变频器的输出功率。
英飞凌提供的全新IGBT在Tvjop=125℃温度条件下,与前代产品相比,可使总损耗较高降低6%。这意味着随着允许结温的提高可使变频器真正从中受益。
此外,组装技术的优化确保在工作结温增大的条件下,可获得相同的使用寿命和提高近17%的输出电流——或在类似输出功率下,延长使用寿命。
这种全新半导体将采用目前成熟的封装和未来新的封装。所有这些改进都将使新IGBT4模块成为满足不同应用要求的理想之选。
英飞凌元件的不断改进与各项新技术的发展为客户和合作伙伴优化他们的应用设计带来机会,并为其实现节能目标做出贡献。
相关阅读:
- ...· Efinix® 全力驱动AI边缘计算,成功推出Trion™ T20 FPGA样品, 同时将产品扩展到二十万逻辑单元的T200 FPGA
- ...· 英飞凌亮相进博会,引领智慧新生活
- ...· 三电产品开发及测试研讨会北汽新能源专场成功举行
- ...· Manz亚智科技跨入半导体领域 为面板级扇出型封装提供化学湿制程、涂布及激光应用等生产设备解决方案
- ...· 中电瑞华BITRODE动力电池测试系统顺利交付北汽新能源
- ...· 中电瑞华FTF系列电池测试系统中标北京新能源汽车股份有限公司
- ...· 中电瑞华大功率高压能源反馈式负载系统成功交付中电熊猫
- ...· 中电瑞华国际在电动汽车及关键部件测评研讨会上演绎先进测评技术
- ...· 华芯微国产汽车芯片门电路系列(篇一)
- ...· 华芯微国产汽车芯片CAN收发器系列(篇一)
- ...· 华芯微国产汽车芯片DC/DC转换器系列
- ...· 华芯微国产汽车芯片DC/DC转换器系列
- ...· 华芯微国产汽车芯片运算放大器系列(篇一)
- ...· 华芯微国产汽车芯片MOSFET 驱动器系列(篇一)
- ...· 数据采集终端系统设备
- ...· 简仪科技踏上新征程








